
Play Control Word Address
Control the player from the connection device. Use a sequence of 5 Words from the specified address.

Refer to the following for how to operate.
Operation Procedure for Play Control Address
Playback Method
Play Control Word Address
Control

The upper bits are prioritized in each bit.
When the video display bit is enabled, the selected camera picture takes over the screen from the currently playing movie. The movie continues to play unseen with the sound off. When the video display bit is disabled, the sound returns and the movie in progress is visible on the screen.
When the forced play bit is turned on, it plays the movie with the defined index. Also, when the forced play bit is on, and the play notification bit is toggled, it plays the movie with the defined index.
Play Mode
The number to specify is as follows.
0 Stopped
1 Play
2 Pause
3 Fast Forward
4 Rewind
5 Slow Motion
6 Forward 1 Frame
7 Backward
8 Specify Index
9 Reserved for this and above (Stop)
Index Number
Specifies the index number of the file to play. The number is used only when [Play Mode] is set to 8 and either [Control]'s command send bit is ON or the forced play bit is ON. In cases other than the above, it is invalid.
Option
Slow motion and 1-frame forward operations are available.

Status

Error Code
0 |
Completed Successfully |
1 |
The specified value for the play method is not within the setting range |
2 |
Executing an instruction from the switch |
3 |
Saving Video |
4 to 15 |
Reserved |
Reserved
Play List Order When the player reaches the end of the playlist, files will play as follows, depending on whether [Repeat] is selected.
[Repeat] selected
Plays movies from the top of the list.
[Repeat] not selected
Stops playback.
On Error
Specifies how to handle the following types of errors when a movie file cannot play.
No external storage is inserted
Unable to connect to the FTP server when FTP play is selected
No files
Cannot open the file
The file is not formatted properly.
Stop
Stops the operation if the movie cannot be played.
Next
If a movie cannot be played, plays the next movie file. In this case, no error status is stored in [Status Word Address 1].
Status Word Address 1
If you want to check the error information, play size, or information on the play position, specify a Word Address for storing the information. Use four Words from the specified address.
For a 32-bit device, use only the bottom 16 bits.

Error Status

The error bit is ON when an attempt to play a movie failed (for example, because a file does not exist or a connection cannot be established to the FTP server), or when a status error occurs in Movie Player (for example, a because file is corrupted during play).
Error Details/Bit State |
Error Name |
Description |
|---|---|---|
0 |
Completed Successfully |
Operating normally. |
1 to 3,6,8,12 to 15,17 to 127 |
Reserved |
These are reserved numbers and are not specified. |
4 |
No external storage |
No external storage is inserted Or, the CF card cover is open. |
5 |
Read Error |
Failed to read from external storage. |
7 |
CF Card Error/USB Storage Error |
The CF card/USB storage is not formatted properly or is damaged |
9 |
FTP server connection error |
The FTP server cannot be accessed. |
10 |
FTP Login Error |
An attempt to log in to the FTP server has failed. |
11 |
Write error |
An attempt to write data to the FTP server failed. |
16 |
The file is corrupt. |
The specified file is not in SDX format. |
Display Size
The current display size is stored.
0 : Standard Mode
1 : 1/4 mode
2 : 1/16 mode
3 : Reserved for this and above (normal type)
Play X/Y Coordinates
The following table lists the coordinate ranges in which the movie plays according to the display size and the image input signal settings.
Display size |
Image Input Signal Settings |
|
|---|---|---|
NTSC |
PAL/SECAM |
|
Standard |
(0,0) to (639,479) |
(0,0) to (767,575) |
1/4 |
(0,0) to (319,239) |
(0,0) to (383,287) |
1/16 |
(0,0) to (159,119) |
(0,0) to (191,143) |
Status Word Address 2
Set to use the address for watching the movie playback state.
Use a sequence of two words from the specified address.
For a 32-bit device, use only the bottom 16 bits.

Play Monitor

The operation mode for the Play Monitor is stored in the bottom eight bits.
The play state bit turns ON during a video display using a playlist. It remains OFF during displays using a special switch.
The play state bit indicates that the Play Monitor is actually in the play state. There are no repeat specifications, and even when the play switch is ON, if play is completed to the end, the state changes to state other than play state.
The following lists the numbers to be specified for the Play Monitor operation mode.
0 : Stop
1 : Play
2 : Pause
3 : Fast Forward
4 : Rewind
5 : Slow Motion
0xFF: Video Display
Numbers other than those above are reserved.
Slow Update Rate
When running in slow motion, stores the play speed.

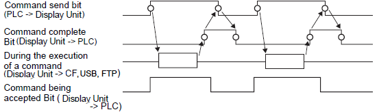
Operation Procedure for Play Control Address
Normal Play
In the [Index Number] address, store the index number of the movie file you want to play.
In the [Play Mode] address store the value 8, and in the [Control] address turn on the command send bit (bit 0). The index number is set. (The movie being played will be stopped.)
Turns back the command send bit to off.
In the [Play Mode] address store the value 1, and turn on the command send bit. This will play the movie with the defined index number.
Play in Forced Play Mode
Regardless of the current movie play status, forcibly plays the movie with the specified index number.
In the [Index Number] address, store the index number of the movie file you want to play.
In the [Control] address, turn ON the forced play bit (bit 8). Play will begin.
![]()
While the forced play bit is on, the command send bit will not turn on.
If the play notification bit (bit 9) is toggled while the forced play bit is on, plays the movie with the current index number.
In forced play mode, to stop the movie from playing you need to turn off the forced play bit.
If neither [Loop] nor [Play List Order] is selected, movie playback stops at the end of the movie.
If [Loop] is cleared and [Play List Order] is selected, movie playback stops at the end of the movie playlist.
