
播放控制字地址
从外接设备控制播放器。使用从指定地址开始的5个字。

参阅如下内容获取有关如何操作的信息。
播放方式
播放控制字地址
控制

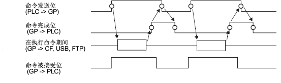
较高的位依次享有更高的优先级。
当视频显示位置ON时,所选的摄像机画面将取代当前播放影像的画面。影像继续播放,但没有画面也没有声音。当视频显示位置OFF时,声音恢复,正在播放的影像也显示在画面上。
当强制播放位置ON时,将按照定义的索引播放影像。此外,当强制播放位为ON,且播放通知位发生切换时,将按照定义的索引播放影像。
播放模式
指定的编号如下。
0 停止
1 播放
2 暂停
3 快进
4 后退
5 慢进
6 进1帧
7 退1帧
8 指定索引
此位以上预留(停止)
索引编号
指定要播放的文件的索引编号。只有在[播放模式]设置为8,并且要么[控制]中的命令发送位为ON,要么强制播放位为ON时使用此编号。如果是非上述情况,则无效。
选项
可使用慢进和步进操作。

状态

错误代码
0 |
成功完成 |
1 |
播放方法的指定值不在设定范围内 |
2 |
正在执行来自开关的指令 |
3 |
保存视频 |
4~15 |
保留 |
保留
播放列表顺序 当播放器到达播放列表尽头时,根据是否选择了[循环],将按照如下方式播放文件:
选择了[重复]:
从列表的顶部播放影像。
未选择[重复]:
停止播放。
错误处理
指定当影像文件不能播放时如何处理如下类型的错误。
未插入外部存储器
当选择了FTP播放时不能连接到FTP服务器
无文件
不能打开文件
文件未正确格式化。
停止
如果不能播放影像则停止操作。
下一个
如果不能播放一个影像,则播放下一个影像文件。在这种情况下,[状态字地址1]中不保存错误状态。
状态字地址1
如果想查看错误信息、播放大小或播放位置等信息,可指定一个保存该信息的字地址。使用从指定地址开始的四个字。
对于32位寄存器,只使用低16位。

错误状态

当尝试播放影像失败时(例如,因为文件不存在或不能建立与FTP服务器的连接),或当影像播放器发生状态错误时(例如,因为文件在播放过程中损坏),该错误位置ON。
错误详情/位状态 |
错误名称 |
描述 |
|---|---|---|
0 |
成功完成 |
正常操作。 |
1~3、6、8、12~15、17~127 |
保留 |
这些是保留号码且未指定。 |
4 |
没有外部存储器 |
未插入外部存储器 或者CF卡盖处于打开状态。 |
5 |
读取错误 |
读取外部存储器失败。 |
7 |
CF卡错误/USB存储器错误 |
CF卡/USB存储器未正确格式化或损坏。 |
9 |
FTP服务器连接错误 |
不能访问FTP服务器。 |
10 |
FTP登录错误 |
尝试登录FTP服务器失败。 |
11 |
写入错误 |
尝试向FTP服务器写入数据失败。 |
16 |
文件损坏。 |
指定文件不是SDX格式。 |
显示屏大小
保存当前显示尺寸。
0 : 标准模式
1 : 1/4
2 : 1/16
3 : 此位及以上预留(正常类型)
播放X/Y坐标
下表根据显示大小及图像输入信号设置列出了影像播放的坐标范围。
显示大小 |
图像输入信号设置 |
|
|---|---|---|
NTSC |
PAL/SECAM |
|
标准 |
(0,0) ~ (639,479) |
(0,0) ~ (767,575) |
1/4 |
(0,0) ~ (319,239) |
(0,0) ~ (383,287) |
1/16 |
(0,0) ~ (159,119) |
(0,0) ~ (191,143) |
状态字地址2
设置使用该地址监视影像播放状态。
使用从指定地址开始的两个连续字。
对于32位寄存器,只使用低16位。

播放监控

在低8位中保存播放监控的操作模式。
使用播放列表,在视频显示期间播放状态位置ON。使用特殊开关,在显示期间它置OFF。
播放状态位表明播放监控正处于播放状态。这里不会重复指定,且即使播放开关为ON,如果播放完成,状态就更改为非播放状态的其他状态。
下面列出了可为播放监控操作模式指定的编号。
0 : 停止
1 : 播放
2 : 暂停
3 : 快进
4 : 后退
5 : 慢进
0xFF:视频显示
上述编号以外的编号被保留。
慢更新速度
保存慢进播放的速度。

正常播放
在[索引编号]地址中保存拟播放影像文件的索引编号。
在[播放模式]地址中保存值8,在[控制]地址中将命令发送位(位0)置ON。设置了索引编号。(正在播放的影像将停止)
重新将命令发送位置OFF。
在[播放模式]地址中保存值1并将命令发送位置ON。这将用定义的索引编号播放影像。
以强制播放模式播放
无论当前的影像播放状态如何,强制播放指定索引编号对应的影像。
在[索引编号]地址中保存拟播放影像文件的索引编号。
在[控制]地址中将强制播放位(位8)置ON。播放将开始。
![]()
当强制播放位为ON时,命令发送位将不会置ON。
如果播放通知位(位9)在强制播放位置ON时发生切换,会播放当前索引编号对应的影像。
在强制播放模式下,如需停止播放影像,需要将强制播放位置OFF。
如果没有选择[循环]或[播放列表顺序],在播放完影像后影像播放将停止。
如果清除了[循环]选项而选择了[播放列表顺序],在播放完影像播放列表后影像播放将停止。
